System Control Panel
The Wissam Queue Management System is a comprehensive, centralized solution designed to streamline customer service operations across all branches. One of the system’s most notable features is its powerful control panel, which can be accessed from the main monitoring device located at the organization’s headquarters, the branch manager’s computer, or from the computer of any person with access to the control panel.
Features:
- Centralized Dashboard Monitoring
- Monitor all branches in real-time from a single dashboard.
- View total customer counts across all branches.
- Track individual branch performance, including:
- Total number of issue tickets by customers
- Number of customers served.
- Number of customers waiting.
- Operations Monitoring & Service Window
- Live monitoring of service activity at each Station.
- View total customers per service, number of served, and number of waiting.
- Identify which stations are active or inactive
- Live station statistics (average serving time per station).
- Advanced Reporting Tools
- We display reports specific to the Branch (Branches) for specific time periods such as quarterly, semi-annual or annual.
- Displays reports on Employees in the Branch (Branches), showing the efficiency of each employee in relation to his working time or the number of customers he served.
- Displays reports on the services provided to customers.
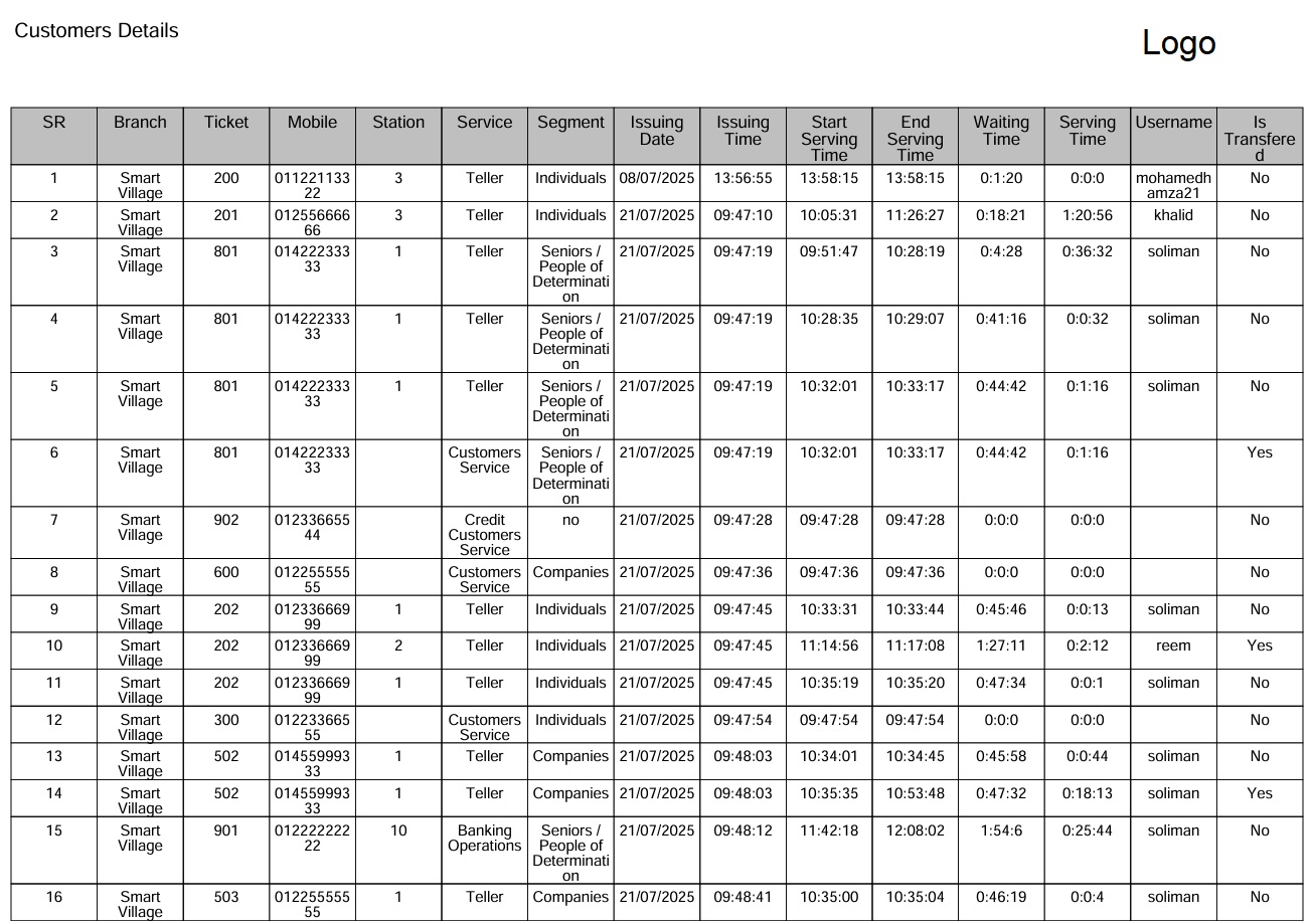
- Displays Customer reports detailing the time that customer issues ticket, the start time of the service, and the end time of the service and so on.
- Generate comprehensive reports in PDF or Excel format.
- Support for scheduled or on-demand reporting.
- User Management & Access Control
- Add or transfer users between branches.
- Reset user passwords and assign control panel permissions.
- Role-based access:
- Branch Manager
- Area Manager (managing multiple branches)
- Global Branch Manager (access to all branches)
- System Health Monitoring
- Ensure the proper functioning of all components, including:
- Queuing system hardware.
- Combined display screens (with/without Exchange rate display).
This system ensures efficient queuing, reduced waiting times, and a seamless experience for both customers and employees across the organization’s control panel.
Advanced Reporting Tools
Wissam queuing management system Company includes 12 comprehensive reports available in both PDF and Excel formats, with the option to add or customize reports according to client needs.
These reports can present data for a specific period, or on a quarterly, semi-annual, or annual basis, and can cover a single branch, a group of branches, or the entire network.
Each report provides a clear summary including averages, totals, peak times, and employee performance indicators based on service duration and number of customers served. The system also displays all service and category records, along with mobile numbers when available.
The reports include the following:
- Branches Reports: 3 reports covering the performance and activity of the organization’s branch (or branches).
- Employee Reports: 3 reports summarizing staff performance and service efficiency.
- Services Reports: 2 reports analyzing the organization’s services.
- Segments Reports: 2 reports covering the categories served by the organization.
- Customers Reports: 2 reports focused on the organization’s







Partners of Success